HOME > 제품 > 화장품 원료
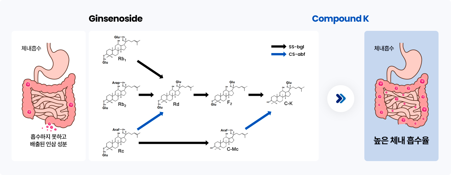
- Ginsenoside가 사람의 장내 미생물이 만들어내는 소화 효소에 의해 분해되어 생성
- 인삼/홍삼에서 Compound K의 함량은 매우 적기 때문에, 보다 효과적인 효능을 위해서는 Compound K를 높은 함량으로 함유한 제품을 선택하는 것이 중요

항산화 작용
면역체계 강화
혈당 조절과 혈압 강하
콜레스테롤 수치 개선
최근 연구에서는 뇌졸중, 알츠하이머병, 각막 침범 등과 같은 질환 예방과 치료에도 효과적일 수 있다는 것이 제시되고 있습니다.

- 분리정제 기술을 통한 고함량의 홍삼 산성다당체 원료화
- Galacturonic acid, Glucuronic acid, Mannuronic acid 등의 산성당이 다량 함유된 분자량 10,000~15,000 이상의 다당체
- 중성다당체에 비해 면역체계에 미치는 영향이 크다고 알려져 있음
- 인체 대식세포의 대사 물질로 암세포증식 억제, 항암면역력 증강작용, 세포분열 촉진 등의 여러 약리효능이 확인됨

- 이온 교환에 의해 분리된 풀 분율의 DPPH 항산화 활성
- 크로마토그램. A, B, C는 각각 0.1 M NaCl, 0.5 M NaCl의 물로 용출됨
